

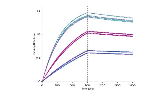
Vrhunska osjetljivost sustava Octet® R8 omogućuje mjerenje malih i velikih molekula i kinetičkih konstanti u širokom rasponu. Sustav precizno mjeri kinetičke konstante dovodeći površinu detekcije izravno na uzorak, eliminirajući potrebu za mikrofluidikom. Uz biosenzore spremne za upotrebu za većinu proteina, jedinstveni pristup 'Dip and Read' usmjerava tijek rada i ubrzava razvoj analize. Omogućuje izravno mjerenje sirovih uzoraka uz minimalno održavanje instrumenta.
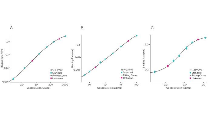
Točne i ponovljive koncentracije mogu se odrediti za samo 2 minute po uzorku ili 32 minute za cijelu pločicu s 96 jažica pomoću jednostavnog ispitivanja u jednom koraku. Visoka osjetljivost u kvantitaciji može se lako postići povećanjem vremena očitavanja i brzine mućkanja, a čak i veća osjetljivost može se postići na razine sub-ng/mL s formatima ispitivanja u 2 ili 3 koraka, što omogućuje automatizirano mjerenje kontaminanata, kao što su stanice domaćina proteina i rezidualnog proteina A, brže i preciznije od ELISA. Ekonomika procesa može se dodatno poboljšati regeneracijom i ponovnom uporabom biosenzora.


Sustav Octet® R8 razvijen je za pouzdan rad u okruženjima regulirane kontrole kvalitete (QC). Octet® se prikladno koristi u razvoju metode i validaciji za oslobađanje serije i ispitivanje unutar procesa za vezivanje liganda, koncentraciju i analizu nečistoća u upstream i downstream procesima. Lakoća upotrebe i jednostavnost dizajna zajedno sa softverom 21 CFR Part 11 i kompletnom linijom GxP proizvoda i usluga čini Octet® R8 sustav idealnim analitičkim instrumentom za laboratorije.