

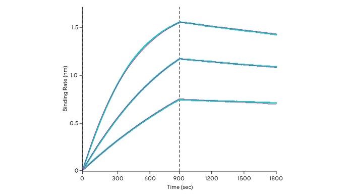
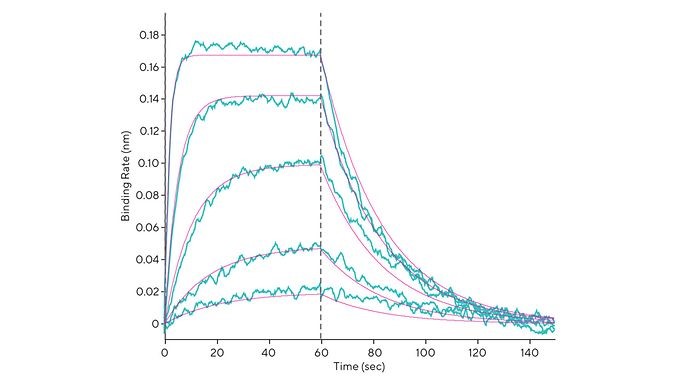
Sustav Octet® R2 prati događaje vezanja u stvarnom vremenu mjereći kinetiku asocijacije vezanja (ka) i disocijacije (kd) te konstante afiniteta (KD). Dva kanala sustava mogu se koristiti neovisno o potrebama pregleda ili paralelno, uparujući očitani uzorak s namjenskom referencom za visokokvalitetnu kinetičku karakterizaciju.
Uzorci se stavljaju u standardne mikropločice, eliminirajući potrebu za održavanje linija za fluide i povećavajući broj uzoraka koji se mogu koristiti u analizi. Unaprijed definirani predlošci u softveru Octet® BLI Discovery pojednostavljuju postavljanje prije izvođenja testa i smanjuju potrebe za obukom. Softver također nudi korisnicima niz parametara i metrika za analizu prikupljenih podataka u moćnom, ali intuitivnom softverskom sučelju.
2-kanalni sustav Octet® R2 izravno detektira prisutnost specifičnih proteina u otopini uz minimalne smetnje složenih smjesa. Točne i ponovljive koncentracije mogu se odrediti za samo 2 minute po uzorku pomoću jednostavnog testa u jednom koraku.
Temperatura ploče s uzorkom može se kontrolirati od 15–40°C, što omogućuje pouzdana kinetička određivanja na različitim temperaturama za temperaturno osjetljive proteine. Dodatne prednosti hlađenja uzorka uključuju mogućnost brzog određivanja konstanti brzine vezanja na više temperatura za ekstrapolaciju termodinamičkih parametara.
Octet® R2 sustav pruža mogućnost ponovnog postavljanja biosenzora na kraju eksperimenta. Ponovno postavljanje biosenzora pruža poboljšanu fleksibilnost u učitavanju liganda na biosenzore i smanjuje operativne troškove kada se biosenzori pune dragocjenim ciljanim reagensima.
Robusna tehnologija s jednostavnim, integriranim korisničkim sučeljem dizajnirana za biologe. Provedite manje vremena učeći instrumente, a više vremena izvlačeći uvide.

S unaprijed definiranim predlošcima koje treba slijediti u softveru Octet® BLI Discovery, sustav Octet® R2 pojednostavljuje postavljanje prije izvođenja testa i smanjuje potrebe za obukom. Octet® Analysis Studio zatim korisnicima daje niz parametara i metrika za analizu prikupljenih podataka, u moćnom, ali intuitivnom softverskom sučelju.
S osjetljivošću na analizu fragmenata malih molekula, instrument Octet® R2 omogućuje mjerenje interakcija između malih molekula veličine do 150 Da kako bi se odredile točne kinetičke stope.
